Perkin, condensación de

Perkin, condensación de
[QUÍM]

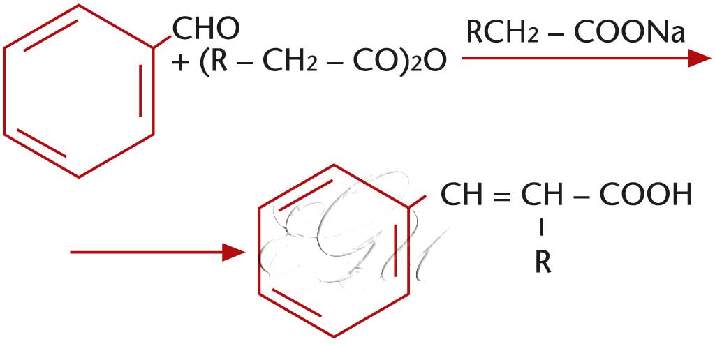
Reacción descuberta en 1877, que consiste na condensación dun aldehido aromático co anhídrido dun ácido alifático con dous átomos de hidróxeno na posición á, en presenza do sal sódico do mesmo ácido, e que conducen a sistemas â-arilacrílicos. A relación está favorecida pola presenza de grupos que atraen electróns no anel aromático. Emprégase para a obtención do ácido cinámico.

Palabras veciñas

perixeo | períxino -na | perixove | Perkin, condensación de | Perkin, William Henry | Perkins, Anthony | Perl, Martin Lewis