quinhidrona

quinhidrona
  1. s f [QUÍM]

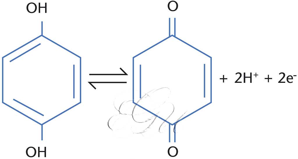
    Complexo de transferencia de carga constituído por unha molécula de p-benzoquinona e unha de hidroquinona.

  2. eléctrodo de quinhidrona [QUÍM/FÍS]

    Eléctrodo baseado no sistema redox constituído pola p-benzoquinona e a hidroquinona. Non se pode empregar en disolucións alcalinas de pH superior a 8, pola ionización da hidroquinona e a súa facilidade de oxidación nestas condicións.

Palabras veciñas

quiñentos | Quinesia | Quinghai | quinhidrona | quinidina | quiniela | quinielista