mínimo -ma

mínimo -ma

(< lat minĭmu, superlativo de parvu ‘pequeno’)

  1. adx

    Que é o máis pequeno en cantidade ou grao entre os da súa clase.

    Ex: Rexistrouse unha temperatura mínima de quince graos.

    Confrontacións: insignificante.
  2. adx

    Que acada o valor máis baixo que pode ter algo.

    Ex: Este mes consumimos o mínimo de luz.

  3. s m

    Valor mínimo ao que pode chegar algo ou alguén.

    Ex: Puxeron a calefacción ao mínimo.

  4. [RELIX]
    1. adx

      Relativo ou pertencente aos mínimos ou á súa orde.

    2. s

      Membro da Orde dos Mínimos. A orde mendicante masculina foi fundada por san Francisco de Paula en Cosenza, en 1435. Chamados inicialmente Ermitáns de San Francisco de Asís, en 1493 tomaron o nome de mínimos e engadiron aos tres votos monásticos (celibato, pobreza e obediencia), o do xaxún coresmal perpetuo. En 1495 fundaron unha orde exclusivamente feminina en Andújar, e posteriormente en Francia. Unha terceira orde fundouse, á marxe do estrito terreo relixioso, para ditar unha serie de normas a seguir propostas para a vida en familia e en comunidade.

  5. [MAT]
    1. adx e s m

      Aplícase ao elemento que, nun conxunto ordenado, é máis pequeno que todos os demais elementos do conxunto.

    2. mínimo común múltiplo

      mínimo común múltiplo.

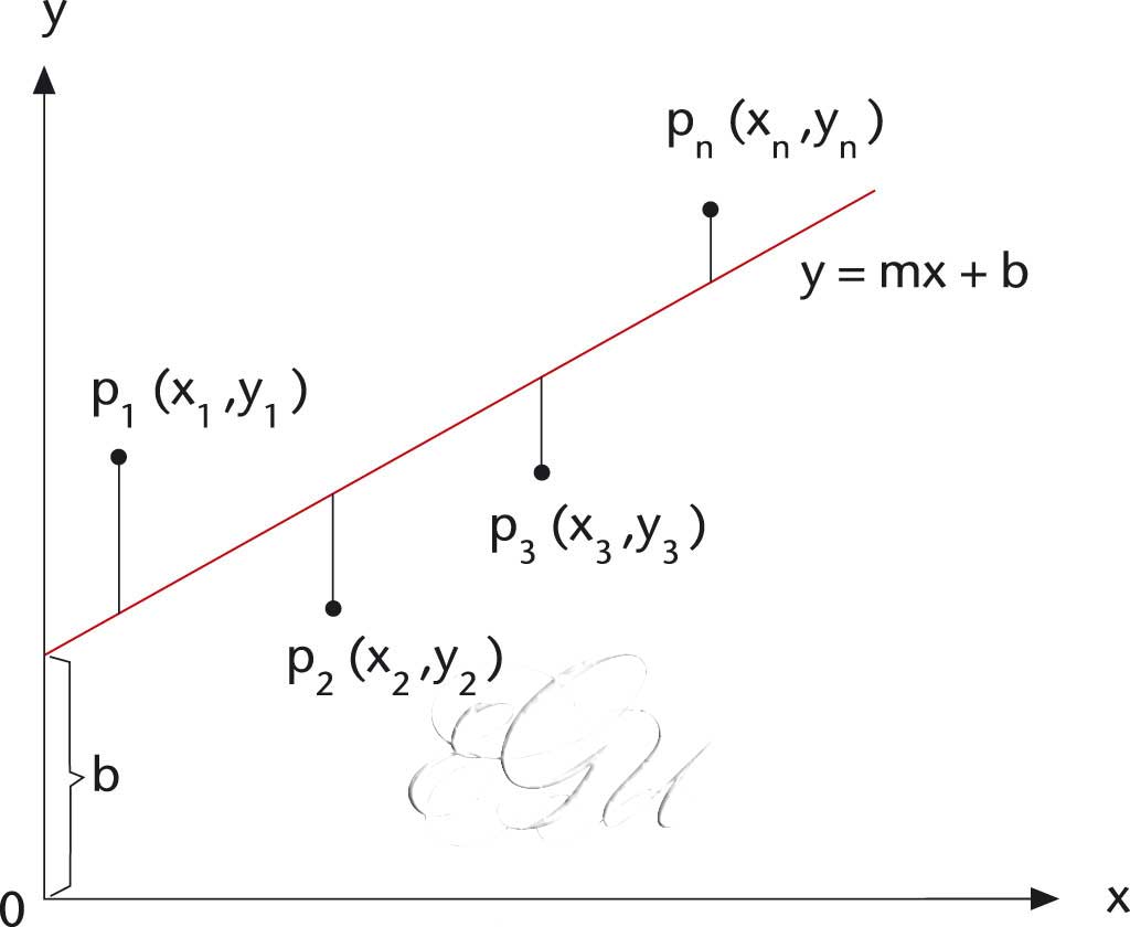
  6. método dos mínimos cadrados [MAT]

    Dado un conxunto de n puntos do plano (x 1 , y 1 ), (x 2 , y 2 ),... (x n , y n ), método que permite achar a ecuación y= mx + b da recta que cumpre a condición de ser a que máis se aproxima aos puntos dados. O método dos mínimos cadrados serve tamén para axustar funcións máis complexas ca a dunha recta, como as funcións polinómicas ou exponenciais, e tamén se emprega no estudo da correlación e en numerosos problemas de estatística aplicada á ciencia, á técnica ou á economía.

  7. [MAT]
    1. mínimo absoluto

      Dada unha función real definida nun conxunto, valor máis pequeno dos valores da función nos puntos do conxunto considerado.

    2. mínimo relativo

      alor que toma unha función f(x) nun punto x=a cando este valor é menor ca os valores de f(x) nos puntos inmediatamente anteriores e posteriores ao punto a. Tamén se denomina mínimo local, e no caso particular de que existisen as derivadas sucesivas de f(x) cúmprese que no punto a a primeira derivada f´(a) é nula e a segunda, f´´(a), normalmente é positiva. No caso que tanto f´(a) coma f´´(a) sexan nulas, a condición que f(x) teña un mínimo no punto a é que a primeira derivada de f(x) non nula en dito punto siga unha orde par e positiva.

Frases feitas

  • Á mínima. Pola causa máis pequena.

  • Ao/Ó mínimo. O máis que se poida.

  • Como mínimo. Polo menos.

  • O máis mínimo. Expresión que se emprega en construcións negativas co significado de nada.

Palabras veciñas

minimalista | minimización | minimizar | mínimo -ma | minio | Miniopterus | minisaia