lactosa

lactosa
s f [BIOQ]

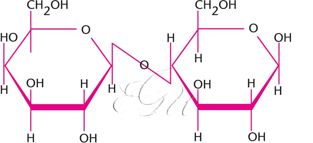
Disacárido natural que por hidrólise dá lugar a D-galactosa e a D-glicosa. Sintetizada nas glándulas mamarias, está presente, como única fonte natural coñecida, no leite dos mamíferos. Cando o leite fermenta pola acción das bacterias, como os lactobacilos, transfórmase en ácido láctico. OBS: Tamén se denomina azucre de leite.

Palabras veciñas

lactoglobulina | lactómetro | lactona | lactosa | lactoscopio | lactosuria | lactóxeno -na