nucleótido

nucleótido

(< núcleo + -ido, conepéntese de -t- por analoxía con -tico)

s m [BIOQ]

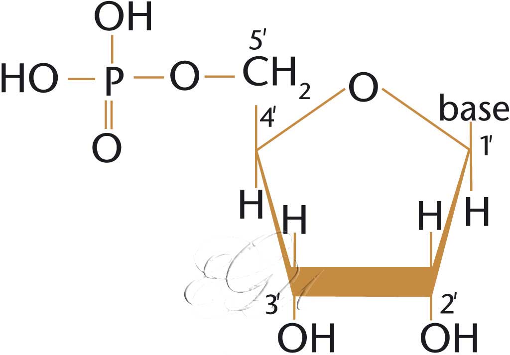
Cada un dos ésteres de ácido fosfórico cun nucleósido, en que o ácido fosfórico é esterificado cun dos grupos de hidroxilo libres de pentosa. Atópase na célula, en estado libre e en proporcións notables. Obtéñense por hidrólise parcial dos ácidos nucleicos e ao ser compostos de bases nitroxenadas absorben a luz ultravioleta arredor dos 2.600 Å.

Sinónimos

Palabras veciñas

nucleósido | nucleosíntese | nucleosoma | nucleótido | núclido | núcula | Nucula