fórmula
(< lat formŭla)
-
s
f
-
Forma establecida ou convencional para expresar ou realizar algo.
Ex: As fórmulas tradicionais xa non están de moda. É mellor que utilices unha fórmula de despedida máis respectuosa.
-
Expresión que se debe pronunciar para que ocorra algo determinado.
Ex: O mago dixo unha fórmula máxica para desenfeitizala.
-
-
-
s
f
[DER/HIST]
Forma establecida ou usual para redactar un documento. Baséase na utilización de frases feitas, para seren máis precisos e evitaren os erros. Coñécense diferentes fórmulas, entre outras, as visigóticas (615-620), as carolinxias (s VIII) e da chancelería papal (s XII). Coa influencia do dereito romano de Xustiniano, xurdiron novas fómulas substitutivas. Esta práctica constituíu a ars ditandi. Non obstante , o abuso das fórmulas produciu un recargamento do documento, a repetición de conceptos e un estancamento do dereito.
-
fórmula notarial
Esquema empregado polos notarios como base de redacción dun documento. Posteriormente chamáronse tamén formularios.
-
s
f
[DER/HIST]
-
s
f
Forma ou medio de solucionar un problema.
Ex: Non hai unha fórmula para poder acabar coa fame.
-
-
s
f
Relación ou lista dos compoñentes de algo.
Ex: Ninguén coñece a fórmula dese refresco de cola.
-
s
f
[MED]
Prescrición que lle fai o médico ao enfermo sobre os medicamentos que debe tomar e a forma de administralos.
-
fórmula farmacéutica
[MED]
Fórmula dun medicamento que comprende produtos activos e excipientes e que debe seguirse na preparación do medicamento para darlle a forma farmacéutica adecuada.
-
fórmula maxistral
[MED]
Composición medicamentosa, establecida polo médico, na que as distintas doses están establecidas na receita.
-
fórmula oficinal
[MED]
Preparado farmacéutico que resulta da mestura de diferentes substancias medicinais que teñen unha composición fixada pola farmacopea.
-
s
f
-
s
f
-
Expresión que resume de xeito preciso unha lei ou un feito científico mediante signos.
Ex: Esa é a fórmula para calcular a área do rectángulo.
-
[MAT/FÍS]
Expresión dunha relación que se establece entre diferentes cantidades e magnitudes mediante símbolos. Denomínase fórmula especialmente unha relación, de igualdade ou desigualdade, remarcable. Por exemplo, a fórmula para calcular as solucións da ecuación de segundo grao ax2+bx+c=0, é
FORMULA -
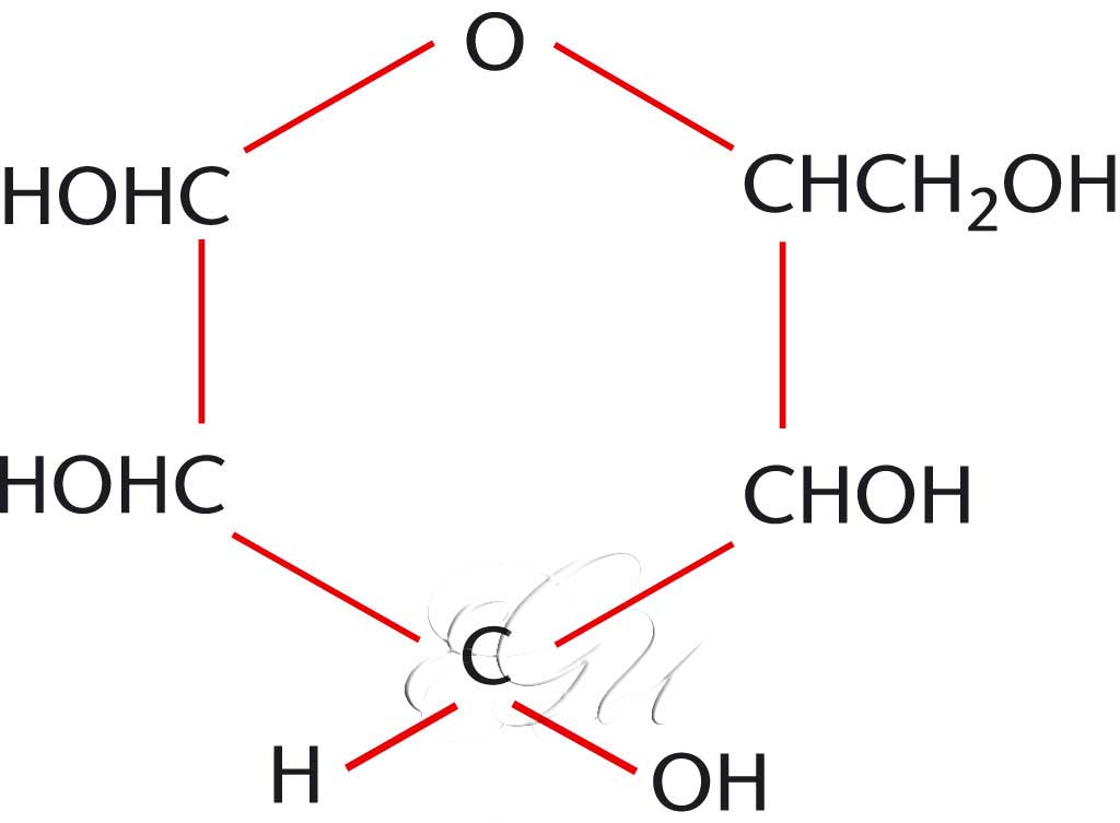
[QUÍM]
Expresión gráfica que amosa a constitución e estrutura dunha especie química. As fórmulas están constituídas polos símbolos dos elementos, cifras en subíndice que indican cantas veces hai que consideralos repetidos e raias que indican os enlaces. As fórmulas divídense en empíricas, moleculares, desenvolvidas ou estruturais. A fórmula empírica é a máis simple; resulta directamente da análise e escríbese xustapoñendo nunha certa orde os símbolos que van acompañados dos máis pequenos subíndices numéricos que expresen a estequiometría. Substancias moi diferentes poden ter a mesma fórmula empírica. Para os compostos que constan de moléculas discretas, se se coñece a fórmula empírica e o peso molecular, pódese escribir a fórmula molecular, que, aínda que dá o número exacto de átomos que forman a molécula, non é sempre específica dunha substancia. Cando por métodos físicos e químicos se coñecen as conexións entre os átomos, pódese escribir a fórmula desenvolvida plana, indicando os enlaces. As fórmulas desenvolvidas precisan a topoloxía molecular e distinguen entre os isómeros funcionais ou posicionais, pero non entre os xeométricos ou ópticos. Finalmente, cando se coñece, ademais, a disposición dos átomos no espacio, pódese trazar unha fórmula estrutural, que pode ser só estereoquímica, se indica só as orientacións relativas, suficientes para distinguir entre estereoisómeros, ou pode precisar tamén a conformación se a molécula ten xeometría fixa. As fórmulas estruturais representan simbolicamente nun plano, mediante artificios gráficos, os modelos tridimensionais.
-
-
s
f
[DEP]
Regulamentación técnica que a Federación Internacional do Automóbil estableceu para as carreiras en circuítos de velocidade. Existen tres fórmulas establecidas: a Fórmula 1 (motores de ata 3.500 cc), a Fórmula 3.000 (motores de cilindrada máxima ata 3.000 cc) e a Fórmula 3 (motores de cilindrada máxima ata 2.000 cc).
-
fórmula citolóxica
[BIOL]
Proporción respectiva dos distintos elementos celulares que aparecen contidos nun líquido orgánico normal ou patolóxico.
-
fórmula floral
[BOT]
Conxunto de iniciais, cifras e signos que indican esquematicamente a estrutura básica dunha flor.
-
fórmula leucocitaria
[BIOL/MED]
Proporción e número respectivo dos diversos tipos de glóbulos brancos do sangue.